经纬铭月ikoPDA专注国产毫秒级工业高频数据采集分析 替代进口PDA系统和分析软件

Profinet EIP EtherCAT EGD UDP RFM RtEthernet Tc-net S7 Modbus OPC iso Ads

西门子 AB GE 三菱 倍福 MOOG 施奈德 ABB 阿尔斯通 主辅传动 国产PLC 专用板卡

QDR质量数据记录(数字钢卷)厘米级 毫秒级 同时支持32+客户端在线

设备测试 故障诊断 质量分析 ikoPDA(易控PDA) CHPDA PLC-PDA 不破解调用国外同类系统

兼容第三方PDA文件格式,大量专有功能

对标国际主流PDA系统,性价比高

更符合中国人使用习惯,支持绿色免安装

支持功能定制、OEM,开放各类数据接口

大中型企业数百套工程业绩

CHPDA高速数据采集分析系统

详尽解析质量管理及工业大数据来源

全栈自主开发 完全知识产权

高速数据采集方案

专题系统

联系我 下载

High speed data acquisition scheme

Thematic System

Contact us & Download

1 背景和性能指标

10 RCM - 辊道电流监测系统

19 基于D455的卷取主传动系统

2 PDA - 高速数据采集分析系统

11 HDP - 高频高密高速数据平台构建

20 炼钢厂综合数系统

3 LTA - 长期历史趋势分析系统

12 HDC - 热轧高频高密数字钢卷

21 大量S7通讯造成网络不稳定

4 HDS - 开放式高频时序数据库HDServer

13 CDC - 冷轧数字钢卷

22 毫秒级设备诊断采样系统

5 DBU - 数据库系统及升迁工具

14 DSP - 数字钢板

23

6 DCC - 数字钢卷转换存贮系统

15 DTP - 数字钢管

24

7 CFS - 钢卷快速搜索统计系统

16 CDS - 连铸数字板坯

25 常用调试工具及开发板

8 DSO - 设备诊断同步过采样系统

17 TDA - 典型高速数据采集方案

26 钢铁行业PDA系统配置调研表

9 RSA - 轧辊剥落预警及快停系统

18 QMS - 质量管控及分析系统

27工程业绩及应用情况

27 工程业绩及典型项目应用情况

PDA高速数据采集分析系统在大中型企业得到广泛应用,工程业绩不一一列举。

序号

工艺设备

1

硅钢厂 - The silicon steel sheet mill

2

热轧 - Hot rolling mill

3

CSP

4

冷轧 - Cold rolling mill

5

复合轧机(子弹外壳) - Composite mill (bullet shell)

6

炼钢、连铸 - Steelmaking, continuous casting

7

钢管 - Steel pipe

8

加热炉 - Heating furnace

9

平整机 - Temper mill

10

实验室 - Laboratory

11

闪光焊机 - Flash butt welding machine

12

电池能耗曲线测量 - Measurement of battery consumption curve

13

气力输送实验 - Pneumatic conveying experiment

14

水泥 - Cement

15

能源管理 - Energy management

16

数据远传服务 - Data telemetering service

17

数据采集系统改造 - Reforming of Data Acquisition System

18

啤酒厂信息化系统 – Brewery information system

19

啤酒厂点图分析 - Point Map Analysis System of a Brewery

20

啤酒厂CO2回收预测及实测数据分析 - Data analysis for Brewery CO2 recovery prediction and measured data

21

主传动SL150 - Main drive SL150

22

质量管理及数字钢卷 - Quality management and digital coil

23

无人机车及智能铁水运输系统 - Unmanned locomotive and intelligent iron metal transportation system

24

全天候少人化码头 - All-weather unmanned wharf

25

电液伺服控制系统 - Electro hydraulic servo control system

26

汽车监控系统 - Automobile monitoring system

27

热轧厂数字钢卷系统 HSM digital coil system

28

冷轧厂数字钢卷系统 CSM digital coil system

29

公司级主辅传动系统数据采集综合方案

30

IGBT柔性直流斩波电源 - 绿色智能超级电弧炉

31

MPT轧制节奏跟踪 - Mill Pacing Tracing

32

 


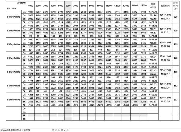
27.1 某热轧厂平整机PDA高速数据采集分析系统

27.1为某平整机高速数据采集系统,采样周期4ms2011.3.8日平整机偶尔出现振荡,不能生产,经历史曲线分析(下图中红色圈中)发现压力环参数设置不太合适,调整后正常。

27.1 PDA系统在平整机中的应用

27.2 某钢厂特厚板坯连铸结晶器液压振动PDA系统

结晶器是连铸机的核心设备,与机械振动相比液压振动能有效减小铸坯与结晶器铜管间的摩擦阻力,从而提高铸坯表面质量,提高拉速,增加产量;采用板弹簧导向,无机械磨损,设备维护工作量和费用大大减少;采用高精度的预应力板簧导向,各向的偏差小;在线可调振幅、振频和波形,实现正弦和非正弦振动,适应各钢种的浇注工艺要求。

27.2和图27.3记录了起停振的过程,调试人员可依据波形调节各种参数,使反馈与给定尽可能快速跟随而超调也很小,有时由于液压系统油不太干净致使伺服阀出现堵塞都能从曲线上直观分析出来,可以快速找出原因。一般生产工人发现停振后都可将历史曲线调出来,是信号干扰、摩擦力太大、油路堵塞还是操作不规范都可定量分析。

27.2 结晶器液压振动启动过程曲线

27.3 结晶器液压振动停止过程曲线

27.4为正常生产时的振动曲线,采样周期为2ms,根据曲线可以指导调整控制系统参数、判断系统工作状态、判别故障原因,控制系统为S7-400+FM458

27.4 某特厚板连铸结晶器液压振动曲线

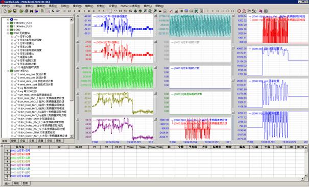
27.3 1700mm热轧厂PDA高速数据采集系统

27.5为某热轧PDA系统曲线,采集9200多点,采样周期1.95ms,替代了控制系统改造前3套某德国品牌PDA系统,性能大幅提升,操作更简洁。

27.5 某1700mm热轧PDA系统

27.4 某大型AGC油缸厂性能测试系统

27.6为某油缸厂AGC缸出厂滞环测试曲线,滞环反映了液压缸摩擦力等性能指标,采样周期0.5ms,可根据测量曲线直接生成报表。

27.6 某大型AGC油缸滞环测试曲线

27.5 某气力输送实验数据测试系统

27.7为某气力输送实验数据曲线,支持复杂数学公式,可同时打开一周的实验数据,分析规律。

27.7 某气力输送实验数据曲线

27.6 某钢管厂PDA数据采集系统

27.8为某钢管厂PDA系统,采集9906点,采集周期为2msPLC为西门子S7-1500TDC,采集的控制功能区有:液压孔型控制系统、轧机主传动、轧机辅传动、轧机区硬件IO、轧机区控制逻辑、张减机主传动、张减机冷床区辅传动、张减机冷床区硬件IO、张减机冷床区逻辑。

27.8 某钢管厂PDA系统

自定义函数RisingEdgeInterval计算每根钢管的轧制时间。

27.9 自定义函数计算每根钢管的轧制时间

27.7 某水泥厂电能管理系统

27.10~27.13为某水泥厂电能管理系统数百台电表电能统计报表,节能减排是降低成本的有效手段,PDA提供了对设备能耗特点进行综合分析的方法,也可作为日常管理工具,报表栏目是根据.pda分析策略动态设定的。

27.10 全厂空压机用电量统计报表

27.11 总降分表总和统计报表

27.12 水泥磨电能统计表

27.13 窑头煤磨设备1电能统计报表

北京爱博精电合资的Acuvim II系列三相网络电力仪表功能较完善:全参数测量,双向四象限 0.2S 级电能计量;电能质量事件记录和波形记录功能,为事故追忆提供技术依据;RS485PROFIBUS、以太网,支持 Web 浏览,定时邮件发送,ModbusTcp;提供全参数的定时记录功能;实测量每周波通讯刷新,适用于高响应速度要求的场合。

27.14 一种全参数电能表

27.8 某铁路数据远传系统

某铁路站控制系统为S7-200smart,铁路局需要采集其中的信号,但只支持ModbusTcp协议,S7-200smartModbusTcp协议比较麻烦,PDAServer通过S7协议与PLC通讯,采集的实时数据映射到Modbus寄存器中,铁路局与ModbusTcpServer通讯即可,图20.15为某铁路数据远传系统示意图。

27.15 某铁路站局PDA数据远传网络示意图

27.9 某机组作业时间数据采集统计系统

27.16为某机组作业时间统计报表,分日报月报班报。

27.16 某机组作业时间日、月统计报表

27.17 某机组作业时间日、月班统计报表

27.10 动态运行记录及抄表系统

根据\BigData中的分析策略文件(.pda)自动生成报表,默认记录时间间隔为1秒,按分钟统计累加值(Config.csvI=1)或累加值平均值(I=2)或瞬时值(I<>12),每小时求一个值。Bool和字符串只求瞬时值。

27.18 某动态运行记录统计报表

27.11 某热连轧主传动SL150

SL150是西门子新一代大功率交-交变频主传动系统,核心单元为Simotion D445(D455)模板、Sinamics CU320模板,PDA系统通过标准以太网和Profinet采集,数据刷新周期1ms

27.19 主传动数据采集网络图

27.12 数据采集系统改造

某些数据采集系统采用了一些专用的设备、专用的通讯网络、专用的服务器,系统异常复杂,价格昂贵,一旦出故障,恢复很困难,下图为某钢厂用PDA系统进行了改造性替换。

27.20 某数据采集系统改造性替换

27.13 统计过程控制SPC

SPC(Statistical Process Control)的宗旨:预防控制,防患于未然。

SPC的主要作用:对生产过程实时监控预警,实现对异常波动及时采取措施,实时改进;判断过程波动是随机波动还是异常波动;实现过程稳定受控。

对当前显示区第1条曲线x1x2间的数据进行SPC指标计算。

27.21 统计过程控制SPC各种指标

27.14 某啤酒厂数据采集及点图分析系统

采集30多台PLC和电表数据。点图有CO2回收及消耗、低压电度表、高压电度表、水量、压缩空气、蒸汽等。

秒级数据升迁到SQLServer,毫秒级数据升迁到influxDB,所有表均自动创建,其结构与PDA系统一致。

27.22 啤酒厂数据采集曲线

27.15 某啤酒厂CO2回收预测及实测数据分析系统

根据母液和发酵罐数据即可预测CO2回收曲线,与实时曲线作比对分析,实现CO2及啤酒的均衡稳产、高产。

27.23 CO2回收预测曲线

27.16 无人机车及智能铁水运输系统

包括无人驾驶、摘挂钩、驻车防溜、定位、脱轨检测、环境感知、设备保障、行车调度、远程集控等子系统,任何故障都可能会引起灾难性的后果。

27.24 机车作业

27.25 机车运行状态

27.17 全天候码头少人化

包括港机无人驾驶、钢卷自动吊运、码头智能化管控等子系统,将作业人员从繁重危险的环境中解放出来。

27.26 码头钢卷自动吊运

27.27 漏波电缆无线信号强度及信噪比

27.18 电液伺服控制系统

由伺服电机驱动液压缸作高精度闭环控制,定位精度可到um级,取消伺服阀、大型液压站,系统成本低、维护量小、可靠性高。

27.28 毫秒级数据曲线

27.29 秒级天数据

27.19 汽车监控系统

汽车采用CAN总线控制,PDA支持标准帧和扩展帧,可以高速采集所有帧ID,是汽车监控、开发、无人驾驶调试的有效工具。

27.30 基于CAN总线的各类汽车

27.31 基于CAN的汽车数据采集

27.20 轧机刚度跟踪报表

27.32 轧机刚度测量曲线

27.33 轧机刚度线性拟合结果

27.34 轧机刚度原始曲线和拟合曲线

27.35 各种轧制力下计算的刚度

27.36 某钢厂的刚度评价

27.21 MPT轧制节奏跟踪

MPT(Mill Pacing Tracing )50ms计算一次头尾准确跟踪位置。

减少摆钢等待。

轧制节奏提升3秒,每天可多生产20块钢。

27.37 轧制节奏跟踪

27.22 IGBT柔性直流斩波电源 - 绿色智能超级电弧炉

项目获得国家科技进步二等奖。PDA系统可对各相电流、电压进行20KHz数据采集,作357131517…等次谐波的在线、离线分析。

27.38 绿色智能超级电弧炉

应用了新型IGBT柔性直流供电技术、电极无级双控智能调节技术、废钢连续预热技术、废钢阶梯连续加料技术、风冷触针底电极技术、二噁英治理和余热回收技术、智能炼钢技术等先进技术,可快速响应电弧炉内的冶炼供能需求和应对短路过流冲击工况,可缩短冶炼周期至30min以内,电耗可低至250-300kwh/t,电极消耗0.6-0.8kg/t,是新一代绿色、节能、环保、高效型电炉,在提高生产效率、降低电耗和电极消耗、提升金属收得率等方面相比常规电炉有极大的优势。

27.39 绿色智能超级电弧炉与传统电炉性能对比曲线

27.23 移动端APP

PDA.apk是安卓安装包,需要存贮权限,各项目现场配置信息要下载到存贮卡中以备调用。

 

27.40 各种风格实时数据显示及生产监控系统

27.24 PLC环网故障检测

多台S7-1500控制器、HMI组成的环网表面工作正常,PDA接入该网进行2ms数据采集时发现每隔6秒丢几十数据包,PDA直连PLC则一切正常,进一步发现断开环网一切也正常,后将PLC版本调低环网正常,PLC版本并非越高越好。

27.25 数学模型日志

现代轧钢数学模型越来越复杂,传统的方法是把关键数据写入.log日志文件,发现问题就分析.log文本文件,分析不直观、效率低,通过共享内存或网络可以把大量的模型数据记录到PDA系统,加快模型的调试进度和故障分析的便捷性和准确性。

 

设备测试 故障诊断 质量分析

毫秒级的数据采样

高效实时数据压缩

捕捉信号瞬时突变

友情链接 百度 腾讯 新浪 网易 搜狐 凤凰 淘宝 京东 中国自动化网 中国工控网 西门子 罗克韦尔 华军软件园 天空软件站 非凡软件站 多多软件站 携程 知乎

中国五矿 中冶集团 中冶赛迪 中冶南方 中冶京诚 中冶华天 中冶长天 中冶北方 中冶焦耐 中国宝武 宝信 宝钢 武钢 鞍钢 河钢 首钢 山钢 涟钢

ICP2025092850 版权所有©Copyright:2025-2035. 经纬铭月科技(武汉)有限公司

 

通讯协议开发  分析功能定制  数据接口开放  信创国产执念

 

PDAServer    PDAClient